共源共柵級輸入噪聲原理分析
共源共柵級輸入噪聲
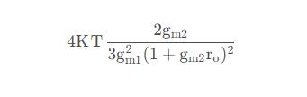
共源共柵級的輸入噪聲(只考慮白噪聲):

這里M1和RD貢獻的輸入噪聲都比較好算,稍微麻煩一點的就是M2對輸入噪聲的貢獻。先將M2柵極電壓變化對輸出的增益計算出來。
根據疊加原理,M1柵極接地等效為電阻Ro,那么M2的增益即為帶源級負反饋的共源極,采用T-model可以方便的計算出增益:

那么對輸入噪聲的貢獻可得到

相對于M1對輸入噪聲的貢獻M2的貢獻完全可以忽略
M1與M2對輸入噪聲貢獻的直觀對比
這種公式實在是不夠直觀認識到M2的噪聲為啥可以忽略,為了直觀的對比M1與M2對輸入噪聲的貢獻程度,搭建了一個共源共柵級,然后分別進行AC仿真,搭建電路參數和仿真結果如下:


從圖中可以看出噪聲增益相差50多dB,超過100倍了,完全可以忽略M2輸入噪聲的影響。
〈烜芯微/XXW〉專業制造二極管,三極管,MOS管,橋堆等,20年,工廠直銷省20%,上萬家電路電器生產企業選用,專業的工程師幫您穩定好每一批產品,如果您有遇到什么需要幫助解決的,可以直接聯系下方的聯系號碼或加QQ/微信,由我們的銷售經理給您精準的報價以及產品介紹
聯系號碼:18923864027(同微信)
QQ:709211280

