1:歐姆接觸(Ohmic contacts)
2:肖特基接觸(Schottky contacts)
3:肖特基勢壘高度(Schottky barrier height,SBH,?B)
3:肖特基二極管(SBD)
關于歐姆接觸和肖特基接觸的概念和區別,我已經在上一篇文章中介紹清楚了,放上鏈接:
TIAN:歐姆接觸與肖特基接觸


那么,肖特基二極管是什么?


Fig. 1 the structure of schottky diode
從上圖可以看出,肖特基二極管的構成,除了中間的半導體層,就是歐姆接觸和肖特基接觸了。而歐姆接觸我們前面已經介紹過了,現在介紹肖特基接觸。
1)物理性質
肖特基金屬-半導體界面的載流子傳輸通常是通過載流子在阻擋層上的熱電子發射而發生的,在正偏情況下:


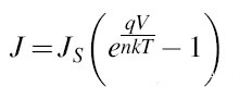
飽和電流濃度為:


其中,V是施加的電壓,n是理想因子,A*是有效Richardson常數,T是溫度,q是元電荷,k是玻爾茲曼常數,?B是肖特基勢壘高度(SBH)。理想因子說明了與熱電子發射理論的偏差。下面,上能帶圖。


a) before contact b)after contact
熱力學規定,metal-semiconductor contact必須遵從 Schottky-Mott 規則:


但是,注意到,這個公式只是理想模型,實際中,SBH收到如鏡像力(image force),界面缺陷等的因素,實際的值會低于理想值。
2)特性
正向電流電壓特性和反向電流電壓特性
關斷電流
導通電阻
擊穿電壓
烜芯微專業制造二極管,三極管,MOS管,橋堆等20年,工廠直銷省20%,4000家電路電器生產企業選用,專業的工程師幫您穩定好每一批產品,如果您有遇到什么需要幫助解決的,可以點擊右邊的工程師,或者點擊銷售經理給您精準的報價以及產品介紹
烜芯微專業制造二極管,三極管,MOS管,橋堆等20年,工廠直銷省20%,4000家電路電器生產企業選用,專業的工程師幫您穩定好每一批產品,如果您有遇到什么需要幫助解決的,可以點擊右邊的工程師,或者點擊銷售經理給您精準的報價以及產品介紹

